机器学习(ML)(十) — 探析

因子分析(Factor Analysis)

因子分析(Factor Analysis)是一种统计方法,旨在通过识别潜在的变量(因子)来解释观测变量之间的相关性。它广泛应用于心理学、社会科学、市场研究和其他领域,以简化数据结构、减少维度和发现潜在的关系。因子分析(Factor Analysis)原理是将多个观测变量归结为少数几个潜在因子。这一过程通常包括以下步骤:1.数据收集与准备,收集相关的数据集,确保数据的质量和适用性;2.相关矩阵计算,计算观测变量之间的相关矩阵,以了解变量之间的关系;3.因子提取,使用统计方法(如主成分分析最大似然估计)提取因子;因子旋转,为了使因子更易于解释,通常会对提取的因子进行旋转。旋转方法包括正交旋转(如Varimax)和斜交旋转(如Promax);因子解释,根据因子的载荷(即每个观测变量与因子的关系)来解释每个因子的含义;模型评估,通过各种统计指标(如KMO检验和Bartlett球形检验)评估模型的适用性和有效性。

因子分析的优势:

  • 数据简化:通过减少变量数量,因子分析可以帮助研究者更好地理解数据结构,降低复杂性。
  • 发现潜在结构:能够识别出影响多个观测变量的潜在因素,从而揭示数据中的隐藏模式。
  • 提高模型性能:在构建预测模型时,使用因子分析提取的因子可以提高模型的准确性和可解释性。

在无监督学习中,有一个数据集,这里如何使用数学方法描述这个数据集?一种方式是将数据集表示为:。其中称为潜在变量(因为它无法被观察到),被看做均值为0,协方差为高斯分布的噪声项(),是某个任意的迁移向量。如果这时的给定时,则上述方程的概率为:,对于上述概率模型,我们还需要潜在变量的先验分布最直接的假设(基于高斯分布的良好特性)是。这是一个高斯分布,因为为:

下面的是一个带旋转的因子分析(Factor Analysis)示例,这里使用鸢尾花数据集,我们发现萼片长度、花瓣长度和宽度与高度相关。矩阵分解技术可以揭示这些潜在模式。对成分进行旋转并不会提高潜在空间的预测值,但可以在因子分析(Factor Analysis)中,通过旋转方法(如Varimax旋转),可以优化因子的解释性,以便更清晰地识别出哪些变量与特定因子相关联。在这种情况下,第二个成分的加载值仅在萼片宽度上为正值,从而简化模型并提高可解释性。

1
2
3
4
5
6
7
8
9
10
11
12
13
14
15
16
17
18
19
20
21
22
23
24
25
26
27
28
29
30
31
32
33
34
35
36
37
38
39
40
41
42
43
44
45
46
47
48
49
50
51
import numpy as np
import matplotlib.pyplot as plt
from sklearn.datasets import load_iris
from sklearn.preprocessing import StandardScaler
from sklearn.decomposition import PCA, FactorAnalysis

# 加载鸢尾花数据
data = load_iris()
X = StandardScaler().fit_transform(data["data"])
feature_names = data["feature_names"]

# 绘制鸢尾花特征的协方差图
ax = plt.axes()
ax.set_xticks([0, 1, 2, 3])
ax.set_xticklabels(list(feature_names), rotation=90)
ax.set_yticks([0, 1, 2, 3])
ax.set_yticklabels(list(feature_names))

im = ax.imshow(np.corrcoef(X.T), cmap="RdBu_r", vmin=-1, vmax=1)
plt.colorbar(im).ax.set_ylabel("$r$", rotation=0)
ax.set_title("Iris feature correlation matrix")
plt.tight_layout()

# 使用Varimax旋转进行因子分析
n_comps = 2
methods = [
("PCA", PCA()),
("Unrotated FA", FactorAnalysis()),
("Varimax FA", FactorAnalysis(rotation="varimax")),
]
fig, axes = plt.subplots(ncols=len(methods), figsize=(10, 8), sharey=True)

for ax, (method, fa) in zip(axes, methods):
fa.set_params(n_components=n_comps)
fa.fit(X)

components = fa.components_.T
print("\n\n %s :\n" % method)
print(components)

vmax = np.abs(components).max()
ax.imshow(components, cmap="RdBu_r", vmax=vmax, vmin=-vmax)
ax.set_yticks(np.arange(len(feature_names)))
ax.set_yticklabels(feature_names)
ax.set_title(str(method))
ax.set_xticks([0, 1])
ax.set_xticklabels(["Comp. 1", "Comp. 2"])

fig.suptitle("Factors")
plt.tight_layout()
plt.show()

输出结果为:

1
2
3
4
5
6
7
8
9
10
11
12
13
14
15
16
17
18
 PCA :
[[ 0.52106591 0.37741762]
[-0.26934744 0.92329566]
[ 0.5804131 0.02449161]
[ 0.56485654 0.06694199]]

Unrotated FA :
[[ 0.88096009 -0.4472869 ]
[-0.41691605 -0.55390036]
[ 0.99918858 0.01915283]
[ 0.96228895 0.05840206]]

Varimax FA :
[[ 0.98633022 -0.05752333]
[-0.16052385 -0.67443065]
[ 0.90809432 0.41726413]
[ 0.85857475 0.43847489]]

概率主成分分析(PPCA)是一种基于概率模型的降维技术,旨在通过潜在变量模型来分析数据。与传统的主成分分析(PCA)不同,概率主成分分析(PPCA)不仅关注数据的线性结构,还考虑了数据中的噪声缺失值概率主成分分析(PPCA)的原理:其通过引入潜在变量来建模观测数据。其基本模型可以表示为:。其中是观测数据点,是因子载荷矩阵,表示潜在因子与观测变量之间的关系。是潜在变量,通常假设其服从标准正态分布。是均值向量,是噪声项,假设其服从正态分布。通过这种方式,概率主成分分析(PPCA)能够对每个数据点的分布进行建模:。其中表示噪声的方差。

概率主成分分析(PPCA)的优势:

  • 处理缺失值概率主成分分析(PPCA)能够有效处理数据中的缺失值,而传统的主成分分析(PCA)无法做到这一点。这使得概率主成分分析(PPCA)在实际应用中更加灵活。
  • 概率模型:由于概率主成分分析(PPCA)基于概率模型,可以利用最大似然估计(MLE)来估计参数,并进行统计推断。
  • 期望最大化算法EM算法):概率主成分分析(PPCA)通常使用EM算法进行参数估计。EM算法通过迭代优化潜在变量和模型参数,提高了估计的准确性。

概率主成分分析(PPCA)提供了一种更为灵活和强大的降维方法,通过引入概率模型和潜在变量,它能够有效处理复杂的数据结构和缺失值问题。

独立成分分析(ICA)

独立成分分析(ICA)是一种统计和计算技术,用于从多维信号中提取出相互独立的成分。独立成分分析(ICA)特别适用于处理混合信号,尤其是在信号处理、图像处理和生物医学工程等领域。独立成分分析(ICA)的原理是通过假设观测信号是若干个独立源信号的线性组合,来恢复这些源信号。其基本模型可以表示为:。其中是观测信号向量(例如多个传感器的输出),混合矩阵,表示源信号之间的线性组合。是独立源信号向量。独立成分分析(ICA)的目标是估计混合矩阵和源信号,使得提取出的成分尽可能独立。常用的独立成分分析(ICA)算法包括:FastICA,一种迭代算法,通过最大化非高斯性来估计独立成分,速度较快且易于实现;Infomax,基于信息论的方法,通过最大化输出信息量来估计独立成分。独立成分分析(ICA)是一种强大的工具,通过假设观测信号是多个独立源的线性组合,能够有效地从复杂数据中提取出有意义的信息。独立成分分析(ICA)不是用于降低维度的,而是用于分离叠加信号。由于独立成分分析(ICA)模型不包含噪声项,因此为了使模型正确,必须应用白化。

下面有一个例子是利用独立成分分析(ICA)来估测噪声的来源。假设有3种乐器同时在演奏,3个麦克风录制混合信号。独立成分分析(ICA)则用于恢复混合信号的来源,即每种乐器演奏的内容。因为相关信号(乐器)反映了非高斯过程,所以主成分分析(PCA)无法恢复这些乐器信号。

1
2
3
4
5
6
7
8
9
10
11
12
13
14
15
16
17
18
19
20
21
22
23
24
25
26
27
28
29
30
31
32
33
34
35
36
37
38
39
40
41
42
43
44
45
46
import numpy as np
import matplotlib.pyplot as plt
from scipy import signal
from sklearn.decomposition import PCA, FastICA

np.random.seed(0)
n_samples = 2000
time = np.linspace(0, 8, n_samples)

s1 = np.sin(2 * time) # Signal 1 : sinusoidal signal
s2 = np.sign(np.sin(3 * time)) # Signal 2 : square signal
s3 = signal.sawtooth(2 * np.pi * time) # Signal 3: saw tooth signal

S = np.c_[s1, s2, s3]
S += 0.2 * np.random.normal(size=S.shape) # Add noise

S /= S.std(axis=0) # Standardize data
# Mix data
A = np.array([[1, 1, 1], [0.5, 2, 1.0], [1.5, 1.0, 2.0]]) # Mixing matrix
X = np.dot(S, A.T) # Generate observations

# Compute ICA
ica = FastICA(n_components=3, whiten="arbitrary-variance")
S_ = ica.fit_transform(X) # Reconstruct signals
A_ = ica.mixing_ # Get estimated mixing matrix

# We can `prove` that the ICA model applies by reverting the unmixing.
assert np.allclose(X, np.dot(S_, A_.T) + ica.mean_)

# For comparison, compute PCA
pca = PCA(n_components=3)
H = pca.fit_transform(X) # Reconstruct signals based on orthogonal components

plt.figure()
models = [X, S, S_, H]
names = ["Observations (mixed signal)","True Sources","ICA recovered signals","PCA recovered signals",]
colors = ["red", "steelblue", "orange"]

for ii, (model, name) in enumerate(zip(models, names), 1):
plt.subplot(4, 1, ii)
plt.title(name)
for sig, color in zip(model.T, colors):
plt.plot(sig, color=color)

plt.tight_layout()
plt.show()

非负矩阵分解(NMF)

非负矩阵分解(NMF)是一种用于降维特征提取矩阵分解技术,广泛应用于信号处理、图像处理和文本挖掘等领域。非负矩阵分解(NMF)的主要特点是要求矩阵的所有元素均为非负值,这使得其在许多实际应用中更具可解释性。非负矩阵分解(NMF)的原理是将一个非负矩阵分解为两个非负矩阵的乘积,使得:。其中是原始数据矩阵,大小为是基矩阵,大小为,表示基础特征。是系数矩阵,大小为,表示每个样本在基础特征上的权重。

非负矩阵分解(NMF)中,通常使用弗罗贝纽斯范数(Frobenius norm)来衡量重构误差。其目标函数可以表示为:,其中表示弗罗贝纽斯范数(Frobenius norm),定义为:,因此,非负矩阵分解(NMF)的优化目标可以简化为:。为了求解上述优化问题,可以使用多种算法,其中最常见的是:乘法更新法,通过迭代更新最小化重构误差。更新规则如下:对于基矩阵的更新,则;对于系数矩阵的更新,则,其中表示元素逐个相乘,是一个小常数,用于避免除以0交替最小二乘法,通过交替固定一个矩阵来优化另一个矩阵,以求解最优分解。使用弗罗贝纽斯范数(Frobenius norm)的非负矩阵分解(NMF)是一种有效的降维特征提取方法,通过最小化重构误差,它能够提供高质量的结果。与PCA有所不同,向量的表示是通过叠加分量而不是减法方式获得的,而是以加法的方式获得。此类加法模型对于表示图像和文本非常有效。

β散度(Beta-Divergence)的非负矩阵分解(NMF)是一种扩展的非负矩阵分解(NMF)方法,旨在通过更灵活的损失函数来捕捉数据的特性。β散度提供了一种统一的框架,可以用于不同类型的数据分布,从而增强了非负矩阵分解(NMF)在各种应用中的适用性。β散度是一种衡量两个概率分布之间差异的度量,定义为:,其中是原始数据矩阵,是非负矩阵分解的结果,是一个参数,控制损失函数的形式。参数的不同取值:

  • 时,散度对应于最小化弗罗贝纽斯范数(Frobenius norm),适用于高斯分布
  • 时,散度对应于最小化绝对误差,适用于拉普拉斯分布
  • 时,散度对应于相对熵Kullback-Leibler散度),适用于泊松分布

非负矩阵分解(NMF)中,通过最小化散度来求解问题,可以表示为:

小批量非负矩阵分解(Mini-batch NMF)是一种改进的非负矩阵分解方法,旨在提高大规模数据集上非负矩阵分解(NMF)的效率和可扩展性。通过使用小批量数据进行更新,这种方法能够显著减少计算时间和内存消耗,同时保持分解的质量。小批量非负矩阵分解(Mini-batch NMF)的目标是将一个非负矩阵分解为两个非负矩阵的乘积:,在小批量非负矩阵分解(Mini-batch NMF)中,整个数据集被划分为多个小批量,每个小批量包含一定数量的数据样本。每次迭代仅使用一个小批量来更新基矩阵系数矩阵小批量非负矩阵分解(Mini-batch NMF)的执行步骤为:

  • 数据分批:将原始数据矩阵划分为多个小批量,每个小批量包含个样本。
  • 初始化:随机初始化基矩阵系数矩阵,确保它们的元素均为非负值。
  • 迭代更新:对于每个小批量,进行以下步骤:1.计算当前小批量的重构误差;2.使用乘法更新法或其他优化算法更新基矩阵系数矩阵。更新规则为:对于基矩阵的更新,则;对于系数矩阵的更新,则
  • 迭代直到收敛:重复上述步骤,直到达到预定的迭代次数或满足收敛条件。

小批量非负矩阵分解(Mini-batch NMF)是一种高效且灵活的NMF方法,通过结合小批量处理技术,它不仅提高了训练速度,还增强了模型的可扩展性鲁棒性

潜在狄利克雷分配(LDA)

潜在狄利克雷分配(LDA)是一种广泛使用的主题模型,旨在从文档集合中发现潜在主题。潜在狄利克雷分配(LDA)通过假设每个文档是由多个主题生成的,而每个主题又是由多个词构成的,从而实现对文本数据的建模和分析。潜在狄利克雷分配(LDA)广泛应用于多个领域,包括文本挖掘、推荐系统、社交网络分析等领域。潜在狄利克雷分配(LDA)的核心思想是将文档视为主题的混合,每个主题由一组词以不同的概率分布生成。其基本模型可以用以下步骤描述:主题分布,为每个文档生成一个主题分布,假设遵循狄利克雷分布。具体来说,对于文档,生成一个主题分布,其中是超参数,控制主题分布的稀疏性生成词,对于文档中的每个词:从主题分布中抽取一个主题,则;从该主题的词分布中抽取一个词,则,其中是第个主题的词分布,通常假设遵循狄利克雷分布模型参数潜在狄利克雷分配(LDA)模型包括超参数和每个主题的词分布参数

潜在狄利克雷分配(LDA)的推断过程旨在估计给定文档集合下的隐含主题和相关参数。常用的方法包括:变分推断(Variational Inference),通过优化变分下界来近似后验分布吉布斯采样(Gibbs Sampling),一种马尔可夫链蒙特卡罗(MCMC)方法,通过迭代采样来估计模型参数。潜在狄利克雷分配(LDA)的优势包括:

  • 可解释性潜在狄利克雷分配(LDA)提供了清晰的主题表示,使得每个主题由一组相关词构成,便于理解和分析。
  • 灵活性:能够处理大规模文本数据,并适用于多种文本挖掘任务,如文档聚类、推荐系统和信息检索。
  • 无监督学习潜在狄利克雷分配(LDA)是一种无监督学习方法,不需要预先标注的数据即可发现潜在结构。

潜在狄利克雷分配(LDA)是一种强大的主题建模工具,通过假设文档由多个潜在主题生成,它能够有效地从大规模文本数据中提取有意义的信息。随着自然语言处理和机器学习的发展,潜在狄利克雷分配(LDA)在许多实际应用中展现了其重要价值,尤其是在需要理解和分析文本内容时。

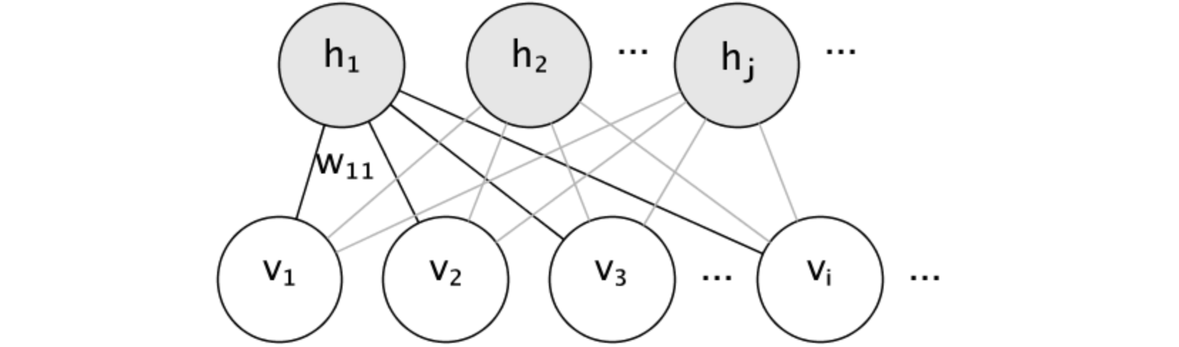
限制玻尔兹曼机(RBM)

限制玻尔兹曼机(RBM)是一种无监督学习算法,属于深度学习中的生成模型。限制玻尔兹曼机(RBM)由一组可见单元(visible units)和一组隐藏单元(hidden units)组成,二者之间通过权重连接,但同一层的单元之间没有连接。限制玻尔兹曼机(RBM)广泛应用于多个领域,包括:推荐系统、图像处理、自然语言处理。限制玻尔兹曼机(RBM)的结构可以用以下几个要素来描述:
可见层(Visible Layer):表示输入数据的特征,通常与观测数据直接对应。每个可见单元表示一个特征或输入值。
隐藏层(Hidden Layer):用于捕捉输入数据中的潜在特征。隐藏单元通过与可见单元的连接来学习数据的隐含表示
权重矩阵(Weight Matrix):连接可见层隐藏层权重矩阵,用于调整可见单元隐藏单元之间的关系。
偏置项(Bias Terms):每个可见单元隐藏单元都有一个偏置项,用于调整激活值

限制玻尔兹曼机(RBM)的工作原理是通过对输入数据进行概率建模来学习特征,其主要步骤如下:

  • 前向传播:给定可见单元的输入,计算隐藏单元的激活概率:。其中激活函数(sigmoid),隐藏单元的偏置,是连接可见单元隐藏单元的权重。
  • 采样:根据计算出的概率,从隐藏单元中采样得到激活状态
  • 重构:使用隐藏单元的状态重构可见层:。其中是可见单元的偏置。
  • 对比散度(Contrastive Divergence):通过对比散度算法更新权重偏置,以最小化输入数据和重构数据之间的差异。这一过程通常涉及多个迭代步骤。

限制玻尔兹曼机(RBM)的优势:

  • 无监督学习限制玻尔兹曼机(RBM)能够在没有标签的数据上进行训练,适用于大规模未标注数据集。
  • 特征学习:通过隐含层捕捉数据中的潜在结构,使得限制玻尔兹曼机(RBM)能够自动提取有用特征。
  • 生成能力限制玻尔兹曼机(RBM)不仅可以用于特征提取,还可以生成新样本,具有良好的生成模型性能。

限制玻尔兹曼机(RBM)是一种强大的无监督学习工具,通过结合可见层隐藏层,它能够有效地捕捉数据中的潜在结构。

下面有一个示例,利用伯努利限制玻尔兹曼机模型对灰度图像数据提取非线性特征,例如手写数字识别,为了从小数据集中学习到好的潜在表示,可以通过在每个方向上以1个像素的线性移位扰动训练数据来生成更多标记数据:

1
2
3
4
5
6
7
8
9
10
11
12
13
14
15
16
17
18
19
20
21
22
23
24
25
26
27
28
29
30
31
32
33
34
35
36
37
38
39
40
41
42
43
44
45
46
47
48
49
50
51
52
53
54
55
56
57
58
59
60
61
62
63
64
65
66
67
68
69
70
71
72
73
import numpy as np
import matplotlib.pyplot as plt
from sklearn import metrics
from sklearn import datasets
from sklearn.base import clone
from scipy.ndimage import convolve
from sklearn.model_selection import train_test_split
from sklearn.preprocessing import minmax_scale
from sklearn import linear_model
from sklearn.neural_network import BernoulliRBM
from sklearn.pipeline import Pipeline

def nudge_dataset(X, Y):
"""
This produces a dataset 5 times bigger than the original one,
by moving the 8x8 images in X around by 1px to left, right, down, up
"""
direction_vectors = [
[[0, 1, 0], [0, 0, 0], [0, 0, 0]],
[[0, 0, 0], [1, 0, 0], [0, 0, 0]],
[[0, 0, 0], [0, 0, 1], [0, 0, 0]],
[[0, 0, 0], [0, 0, 0], [0, 1, 0]],
]

def shift(x, w):
return convolve(x.reshape((8, 8)), mode="constant", weights=w).ravel()

X = np.concatenate([X] + [np.apply_along_axis(shift, 1, X, vector) for vector in direction_vectors])
Y = np.concatenate([Y for _ in range(5)], axis=0)
return X, Y


X, y = datasets.load_digits(return_X_y=True)
X = np.asarray(X, "float32")
X, Y = nudge_dataset(X, y)
X = minmax_scale(X, feature_range=(0, 1)) # 0-1 scaling
X_train, X_test, Y_train, Y_test = train_test_split(X, Y, test_size=0.2, random_state=0)

# 利用伯努利限制玻尔兹曼机模型特征提取器和分类器构建分类管道
logistic = linear_model.LogisticRegression(solver="newton-cg", tol=1)
rbm = BernoulliRBM(random_state=0, verbose=True)
rbm_features_classifier = Pipeline(steps=[("rbm", rbm), ("logistic", logistic)])

# 整个模型的超参数(学习率、隐藏层大小、正则化)通过网格搜索进行了优化,训练
# Hyper-parameters. These were set by cross-validation, using a GridSearchCV.
# Here we are not performing cross-validation to save time.
rbm.learning_rate = 0.06
rbm.n_iter = 10
rbm.n_components = 100
logistic.C = 6000

# Training RBM-Logistic Pipeline
rbm_features_classifier.fit(X_train, Y_train)

# Training the Logistic regression classifier directly on the pixel
raw_pixel_classifier = clone(logistic)
raw_pixel_classifier.C = 100.0
raw_pixel_classifier.fit(X_train, Y_train)

# 评估
Y_pred = rbm_features_classifier.predict(X_test)
print("Logistic regression using RBM features:\n%s\n" % (metrics.classification_report(Y_test, Y_pred)))

plt.figure(figsize=(4.2, 4))
for i, comp in enumerate(rbm.components_):
plt.subplot(10, 10, i + 1)
plt.imshow(comp.reshape((8, 8)), cmap=plt.cm.gray_r, interpolation="nearest")
plt.xticks(())
plt.yticks(())

plt.suptitle("100 components extracted by RBM", fontsize=16)
plt.subplots_adjust(0.08, 0.02, 0.92, 0.85, 0.08, 0.23)
plt.show()

输出评估结果为:

1
2
3
4
5
6
7
8
9
10
11
12
13
14
15
16
17
Logistic regression using RBM features:
precision recall f1-score support

0 0.10 1.00 0.18 174
1 0.00 0.00 0.00 184
2 0.00 0.00 0.00 166
3 0.00 0.00 0.00 194
4 0.00 0.00 0.00 186
5 0.00 0.00 0.00 181
6 0.00 0.00 0.00 207
7 0.00 0.00 0.00 154
8 0.00 0.00 0.00 182
9 0.00 0.00 0.00 169

accuracy 0.10 1797
macro avg 0.01 0.10 0.02 1797
weighted avg 0.01 0.10 0.02 1797
图模型与参数化

限制玻尔兹曼机(RBM)的图模型是全连通的二分图。

节点是随机变量,其状态取决于它们所连接的其他节点的状态。因此,该模型由连接的权重以及每个可见隐藏单元的一个截距(偏差)项参数化,为简单起见,图像中省略了该项。能量函数衡量联合分配的质量:。在上面的公式中,分别是可见层隐藏层截距向量。模型的联合概率根据能量定义:。受限一词指的是模型的二分结构,它禁止隐藏单元之间或可见单元之间的直接交互。意味着:,二分结构允许使用高效的块吉布斯采样(Block Gibbs Sampling)进行推理。

能量函数(Energy Function)是一个数学表示,用于量化系统某一状态所具有的能量。它在多个领域中具有重要应用,包括物理学、工程学和优化算法。能量函数(Energy Function)用于描述系统的状态,并评估该状态的可行性或优越性。在优化问题中,能量函数(Energy Function)通常用于指导搜索算法,如模拟退火禁忌搜索,通过提供一个度量来判断解的接近程度,从而影响接受或拒绝新候选解的决策。在优化问题中,能量函数(Energy Function)用于评估不同解的优劣。例如,在机器学习和计算机视觉中,能量函数(Energy Function)可以帮助模型找到最优参数或配置。通过最小化能量函数,可以找到最优解或近似最优解。

块吉布斯采样(Block Gibbs Sampling)是一种马尔可夫链蒙特卡罗(MCMC)方法,用于从复杂的多维概率分布中抽样。与传统的吉布斯采样不同,块吉布斯采样(Block Gibbs Sampling)在每次迭代中同时更新多个变量,而不是逐个更新。这种方法在处理高维数据和具有复杂依赖关系的模型时特别有效。

伯努利限制玻尔兹曼机

伯努利限制玻尔兹曼机(BRBM)是一种特殊类型的限制玻尔兹曼机(RBM),其中可见层的单元使用伯努利分布来建模。这使得伯努利限制玻尔兹曼机(BRBM)特别适用于处理二元(0-1)数据,如图像的黑白像素或用户偏好(喜欢/不喜欢)等。其模型结构与工作原理都与限制玻尔兹曼机(RBM)相同。伯努利限制玻尔兹曼机(BRBM)优势:

  • 适用于二元数据伯努利限制玻尔兹曼机(BRBM)特别适合处理二进制或稀疏数据,使其在许多实际应用中表现良好。
  • 特征学习:通过隐含层捕捉数据中的潜在结构,使得伯努利限制玻尔兹曼机(BRBM)能够自动提取有用特征。
  • 生成能力伯努利限制玻尔兹曼机(BRBM)不仅可以用于特征提取,还可以生成新样本,具有良好的生成模型性能。

计算隐藏单元的激活概率:。其中激活函数(sigmoid),隐藏单元的偏置,是连接可见单元隐藏单元的权重。使用隐藏单元的状态重构可见层:。其中是可见单元的偏置,

随机最大似然学习

随机最大似然学习(Stochastic Maximum Likelihood Learning)是一种用于参数估计的优化方法,特别适用于处理大规模数据集和复杂模型。它结合了最大似然估计MLE)和随机梯度下降(Stochastic Gradient Descent, SGD)等技术,以提高学习效率和收敛速度。随机最大似然学习的应用领域包括:机器学习、信号处理、生物信息学等。

随机最大似然学习(Stochastic Maximum Likelihood Learning)是一种统计方法,用于估计模型参数,使得在给定数据的情况下,观察到的数据具有最高的概率。对于给定的参数和数据集最大似然估计的目标是最大化似然函数

随机梯度下降是一种优化算法,通过使用小批量(mini-batch)或单个样本来更新模型参数,从而减少计算成本并加速收敛。其基本步骤如下:1.从数据集中随机选择一个样本或小批量;2.计算损失函数梯度;3.更新参数:。其中是学习率。随机最大似然学习的步骤:

  • 初始化参数:随机初始化模型参数。
  • 选择小批量:从训练数据中随机选择一个小批量样本。
  • 计算梯度:根据当前参数计算小批量样本的似然函数的梯度。
  • 更新参数:使用计算得到的梯度更新模型参数。
  • 迭代:重复上述步骤,直到达到预定的迭代次数或满足收敛条件。

随机最大似然学习的优势:高效性,通过使用小批量样本进行更新,随机最大似然学习能够显著减少每次迭代所需的计算时间,适合大规模数据集;收敛速度快,由于引入了随机性,能够避免陷入局部最优解,从而提高收敛速度;适应性强,可以灵活应用于各种模型,包括线性回归神经网络隐马尔可夫模型等。随机最大似然学习是一种高效的参数估计方法,通过结合最大似然估计随机梯度下降,它能够在大规模数据集上实现快速收敛。

协方差估计(Covariance Estimation)

协方差估计(Covariance Estimation)是统计学中用于估计随机变量之间的协方差的过程。协方差是衡量两个随机变量之间关系的一个重要指标,反映了它们如何共同变化。准确估计协方差对于许多应用至关重要,包括金融建模、机器学习和信号处理等。许多统计问题都需要估计总体的协方差矩阵,这可以看作是对数据集散点图形状的估计。大多数情况下,这种估计必须对样本进行,样本的属性(大小、结构、同质性)对估计的质量有很大影响。协方差定义:给定两个随机变量,它们的协方差可以定义为:,其中表示期望值协方差矩阵定义:对于多个随机变量,可以构建一个协方差矩阵,其元素为各对随机变量的协方差:

协方差估计(Covariance Estimation)方法有:

  • 样本协方差矩阵(Sample Covariance Matrix):样本协方差矩阵是最常用的估计方法,适用于完整数据集。其计算公式为:。其中是样本的大小,是样本向量,是样本均值。
  • 正则化和收缩方法(Shrinkage Methods):在高维数据中,样本协方差矩阵可能会不稳定或非正定。收缩方法通过将样本协方差矩阵向某个目标矩阵(如单位矩阵)收缩,从而提高估计的稳定性和准确性。
  • 图模型方法(Graphical Models):图模型(如高斯图模型)直接估计精度矩阵协方差矩阵的逆),在某些情况下比直接估计协方差矩阵更有效。
  • 自适应方法(Adaptive Methods):这些方法根据数据特性自适应地调整估计过程,以提高准确性。例如,使用加权平均局部回归技术来估计协方差

协方差估计(Covariance Estimation)是统计分析中的关键步骤,涉及多种方法和技术。选择合适的估计方法取决于数据的特性、维度以及应用场景。通过精确的协方差估计,可以更好地理解变量之间的关系,并做出更有效的决策。

经验协方差

经验协方差(Empirical Covariance)是通过样本数据计算出的协方差,用于估计总体协方差。它是描述两个随机变量之间关系的重要统计量,能够反映这两个变量在样本中的共同变化程度。经验协方差(Empirical Covariance)定义:经验协方差用于衡量两个随机变量的联合变异性,通常表示为:,其中是样本大小,是样本中观测值,分别是随机变量的样本均值。计算步骤:1.计算样本均值,首先计算每个变量的样本均值;计算偏差,对于每一对观测值,计算它们与各自均值的偏差;2.求积并求和,将偏差相乘并累加;3.归一化,将总和除以,以获得经验协方差经验方差的特点是:

  • 正负符号正协方差,表示两个变量同向变化,即一个变量增加时另一个变量也增加;负协方差,表示两个变量反向变化,即一个变量增加时另一个变量减少。
  • 数值范围经验协方差的数值没有上限或下限,可以是正数、负数或零。零协方差表示两个变量之间没有线性关系。

经验协方差是通过样本数据计算出的重要统计量,能够有效地描述和量化随机变量之间的关系。

收缩协方差(Shrunk Covariance)

收缩协方差(Shrunk Covariance)是一种用于提高协方差矩阵估计稳定性和准确性的技术,特别是在高维数据分析中。传统的样本协方差矩阵在样本量相对较小或变量数量较多时,可能会变得不稳定或非正定(即其特征值中存在负值),这会影响后续的统计分析和模型构建。收缩协方差(Shrunk Covariance)的工作原理是:收缩协方差通过将样本协方差矩阵向某个目标矩阵(通常是单位矩阵对角矩阵)收缩,从而减少估计的方差,提高估计的可靠性。其基本思想是结合样本协方差目标矩阵,形成一个新的协方差估计。它的数学表示:设样本协方差矩阵目标协方差矩阵(如单位矩阵)收缩后的协方差矩阵可以表示为:。其中是收缩参数,取值范围在[0,1]之间,通过调整的值,可以控制样本协方差目标协方差之间的权重。

收缩协方差(Shrunk Covariance)的优势:

  • 提高稳定性:通过引入目标矩阵收缩协方差能够减少样本协方差的波动性,使得估计更加稳定。
  • 防止非正定:在高维情况下,样本协方差可能会变得非正定,而收缩方法可以确保得到一个正定矩阵,从而适用于后续的分析。
  • 适应性强:根据数据特性自适应地调整收缩程度,可以有效提高模型性能。

收缩协方差(Shrunk Covariance)方法示例有:Ledoit-Wolf收缩,一种常用的收缩方法,通过最小化均方误差来选择最优的收缩参数对角收缩:将样本协方差收缩到对角矩阵,以简化模型并减少复杂性。下面有一个示例,利用收缩协方差估计量中使用的正则化来提高协方差的准确性。这里比较了三种方法:Ledoit-Wolf(通过最小化均方误差来选择最优的收缩参数)、OAS(假设数据呈现高斯分布,其收敛性明显更好,尤其是对于小样本)和最大似然估计。

1
2
3
4
5
6
7
8
9
10
11
12
13
14
15
16
17
18
19
20
21
22
23
24
25
26
27
28
29
30
31
32
33
34
35
36
37
38
39
40
41
42
43
44
45
46
47
48
49
50
51
52
53
54
55
56
57
58
59
60
61
62
63
64
65
import numpy as np
import matplotlib.pyplot as plt
from scipy import linalg
from sklearn.covariance import OAS, LedoitWolf
from sklearn.model_selection import GridSearchCV
from sklearn.covariance import ShrunkCovariance, empirical_covariance, log_likelihood

n_features, n_samples = 40, 20
np.random.seed(42)
base_X_train = np.random.normal(size=(n_samples, n_features))
base_X_test = np.random.normal(size=(n_samples, n_features))

# Color samples(数据生成)
coloring_matrix = np.random.normal(size=(n_features, n_features))
X_train = np.dot(base_X_train, coloring_matrix)
X_test = np.dot(base_X_test, coloring_matrix)

# spanning a range of possible shrinkage coefficient values
shrinkages = np.logspace(-2, 0, 30)
negative_logliks = [-ShrunkCovariance(shrinkage=s).fit(X_train).score(X_test) for s in shrinkages]

# under the ground-truth model, which we would not have access to in real settings
real_cov = np.dot(coloring_matrix.T, coloring_matrix)
emp_cov = empirical_covariance(X_train)
loglik_real = -log_likelihood(emp_cov, linalg.inv(real_cov))
# GridSearch for an optimal shrinkage coefficient
tuned_parameters = [{"shrinkage": shrinkages}]
cv = GridSearchCV(ShrunkCovariance(), tuned_parameters)
cv.fit(X_train)

# Ledoit-Wolf optimal shrinkage coefficient estimate
lw = LedoitWolf()
loglik_lw = lw.fit(X_train).score(X_test)

# OAS coefficient estimate
oa = OAS()
loglik_oa = oa.fit(X_train).score(X_test)

# 为了量化估计误差,我们绘制了收缩参数不同值下未见数据的可能性,并且做了交叉验证。
fig = plt.figure()
plt.title("Regularized covariance: likelihood and shrinkage coefficient")
plt.xlabel("Regularization parameter: shrinkage coefficient")
plt.ylabel("Error: negative log-likelihood on test data")
# range shrinkage curve
plt.loglog(shrinkages, negative_logliks, label="Negative log-likelihood")
plt.plot(plt.xlim(), 2 * [loglik_real], "--r", label="Real covariance likelihood")

# adjust view
lik_max = np.amax(negative_logliks)
lik_min = np.amin(negative_logliks)
ymin = lik_min - 6.0 * np.log((plt.ylim()[1] - plt.ylim()[0]))
ymax = lik_max + 10.0 * np.log(lik_max - lik_min)
xmin = shrinkages[0]
xmax = shrinkages[-1]
# LW likelihood
plt.vlines(lw.shrinkage_, ymin, -loglik_lw, color="magenta", linewidth=3, label="Ledoit-Wolf estimate",)
# OAS likelihood
plt.vlines(oa.shrinkage_, ymin, -loglik_oa, color="purple", linewidth=3, label="OAS estimate")
# best CV estimator likelihood
plt.vlines(cv.best_estimator_.shrinkage, ymin, -cv.best_estimator_.score(X_test), color="cyan", linewidth=3, label="Cross-validation best estimate",)
plt.ylim(ymin, ymax)
plt.xlim(xmin, xmax)
plt.legend()

plt.show()
稀疏逆协方差(Sparse Inverse Covariance)

稀疏逆协方差(Sparse Inverse Covariance)是一种用于估计高维数据中的协方差矩阵逆精度矩阵)的方法,尤其适用于变量数量远大于样本数量的情况。通过引入稀疏性约束,这种方法能够有效地识别变量之间的条件独立性,从而提供更具可解释性的模型。协方差矩阵:描述多个随机变量之间的线性关系。逆协方差矩阵:是协方差矩阵的逆,反映了变量之间的条件独立性。若协方差矩阵,则其逆为稀疏性:在高维数据中,许多变量可能是条件独立的。稀疏逆协方差估计通过强制大多数元素为0,来简化逆协方差矩阵,从而使得模型更易于解释和分析。

稀疏逆协方差(Sparse Inverse Covariance)估计方法:

  • Lasso方法:稀疏逆协方差估计通常使用Lasso回归(L1正则化)来实现。目标是最小化以下损失函数。其中样本协方差矩阵是待估计得逆协方差矩阵表示行列式,范数,用于引入稀疏性是正则化参数,控制稀疏程度。
  • Graphical Lasso方法:Graphical Lasso是一种具体实现,它利用优化算法(如坐标下降法)来求解上述优化问题。通过迭代更新,可以有效地获得稀疏逆协方差估计

稀疏逆协方差(Sparse Inverse Covariance)优势:

  • 可解释性:通过引入稀疏性,能够明确识别变量之间的关系,提供更清晰的模型解释。
  • 处理高维数据:在变量数量远大于样本数量的情况下,稀疏逆协方差估计能够有效避免传统方法的不稳定性。
  • 条件独立性推断:能够揭示变量之间的条件独立结构,为构建图形模型(如贝叶斯网络)提供支持。

这里有一个协方差估计和稀疏精度的实例,高斯模型是由协方差矩阵逆精度矩阵)参数化的。

1
2
3
4
5
6
7
8
9
10
11
12
13
14
15
16
17
18
19
20
21
22
23
24
25
26
27
28
29
30
31
32
33
34
35
36
37
38
39
40
41
42
43
44
45
46
47
48
49
50
51
52
53
54
55
56
57
58
import numpy as np
import matplotlib.pyplot as plt
from scipy import linalg
from sklearn.datasets import make_sparse_spd_matrix
from sklearn.covariance import GraphicalLassoCV, ledoit_wolf

n_samples = 60
n_features = 20

prng = np.random.RandomState(1)
prec = make_sparse_spd_matrix(n_features, alpha=0.98, smallest_coef=0.4, largest_coef=0.7, random_state=prng)
cov = linalg.inv(prec)
d = np.sqrt(np.diag(cov))
cov /= d
cov /= d[:, np.newaxis]
prec *= d
prec *= d[:, np.newaxis]
X = prng.multivariate_normal(np.zeros(n_features), cov, size=n_samples)
X -= X.mean(axis=0)
X /= X.std(axis=0)

# 协方差估计
emp_cov = np.dot(X.T, X) / n_samples
model = GraphicalLassoCV()
model.fit(X)
cov_ = model.covariance_
prec_ = model.precision_
lw_cov_, _ = ledoit_wolf(X)
lw_prec_ = linalg.inv(lw_cov_)

plt.figure(figsize=(10, 6))
plt.subplots_adjust(left=0.02, right=0.98)

# plot the covariances
covs = [("Empirical", emp_cov),("Ledoit-Wolf", lw_cov_),("GraphicalLassoCV", cov_),("True", cov),]
vmax = cov_.max()
for i, (name, this_cov) in enumerate(covs):
plt.subplot(2, 4, i + 1)
plt.xticks(())
plt.yticks(())
plt.title("%s covariance" % name)
plt.imshow(this_cov, interpolation="nearest", vmin=-vmax, vmax=vmax, cmap=plt.cm.RdBu_r)

# plot the precisions
precs = [("Empirical", linalg.inv(emp_cov)),("Ledoit-Wolf", lw_prec_),("GraphicalLasso", prec_),("True", prec),]
vmax = 0.9 * prec_.max()
for i, (name, this_prec) in enumerate(precs):
ax = plt.subplot(2, 4, i + 5)
plt.xticks(())
plt.yticks(())
plt.imshow(np.ma.masked_equal(this_prec, 0),interpolation="nearest",vmin=-vmax,vmax=vmax,cmap=plt.cm.RdBu_r,)
plt.title("%s precision" % name)
if hasattr(ax, "set_facecolor"):
ax.set_facecolor(".7")
else:
ax.set_axis_bgcolor(".7")

plt.show()
鲁棒协方差估计(Robust Covariance Estimation)

鲁棒协方差估计(Robust Covariance Estimation)是一种用于估计协方差矩阵的方法,旨在提高对异常值和噪声的抵抗能力。传统的协方差估计方法(如样本协方差)在数据中存在异常值时可能会产生偏差,导致不准确的结果。鲁棒协方差估计通过引入特定的技术和算法,能够更好地处理这些问题。异常值异常值是指与其他数据点显著不同的观测值,它们可能由于测量错误、数据输入错误或自然变异而出现。在统计分析中,异常值会对均值协方差等统计量产生重大影响。鲁棒协方差估计应用领域包括:金融分析、生物统计学、机器学习等。

鲁棒协方差估计(Robust Covariance Estimation)的方法:

  • M估计(M-Estimators):M估计是一种广泛使用的方法,通过最小化某个损失函数来获得参数估计。对于鲁棒协方差估计,可以使用加权最小二乘法来降低异常值对结果的影响。
  • 最小绝对偏差(MAD):使用绝对偏差而不是平方偏差来计算中心位置和散布程度,从而减少异常值的影响。
  • Huber损失函数Huber损失函数结合了平方损失绝对损失,能够在异常值存在时提供更鲁棒的估计。它在一定范围内使用平方损失,而在超出范围时使用绝对损失。
  • 最小化分位数(Quantile Minimization):通过最小化数据分位数来获得鲁棒的参数估计,从而减少异常值的影响。
  • S-estimatorT-estimatorS-estimator基于样本散布进行鲁棒估计,而T-estimator则基于样本均值和样本散布进行鲁棒估计

鲁棒协方差估计(Robust Covariance Estimation)的优势:

  • 抵御异常值鲁棒协方差估计能够有效地减少异常值对结果的影响,从而提供更可靠的参数估计。
  • 适用性强:适用于各种类型的数据,包括高维数据和有噪声的数据集。
  • 提高模型性能:通过提供更准确的协方差矩阵鲁棒协方差估计能够改善后续分析和建模的结果。

鲁棒协方差估计(Robust Covariance Estimation)是一种重要的统计工具,通过引入特定的方法和技术,有效地处理数据中的异常值和噪声。它在多个领域中展现了其重要价值,为理解复杂系统中的变量关系提供了可靠的方法。最小协方差行列式(MCD)是一种鲁棒协方差估计的方法,旨在从数据集中识别和排除异常值,从而提供更可靠的协方差矩阵估计MCD方法特别适用于高维数据分析,能够有效地处理存在异常值的情况。最小协方差行列式(MCD)方法通过寻找一个子集,使得该子集的协方差行列式最小化,从而获得鲁棒协方差估计(Robust Covariance Estimation)。具体步骤如下:

  • 选择子集:从数据集中选择个观测值(通常是样本大小的一部分),形成一个子集。
  • 计算协方差矩阵:计算该子集的样本协方差矩阵
  • 最小化行列式:最小化所选子集的协方差矩阵的行列式,即:。其中是所选子集,是其协方差矩阵
  • 重复迭代:通过不同的组合不断重复上述步骤,直到找到使得行列式最小的最佳子集。

下面有一个示例,比较了在受污染的高斯分布数据集上使用各种类型(数据集平均值协方差)的协方差估计鲁棒协方差(MCD)和经验协方差)时产生的估计误差

1
2
3
4
5
6
7
8
9
10
11
12
13
14
15
16
17
18
19
20
21
22
23
24
25
26
27
28
29
30
31
32
33
34
35
36
37
38
39
40
41
42
43
44
45
46
47
48
49
50
51
52
53
54
55
56
57
58
59
60
61
62
63
64
65
66
67
68
69
70
71
72
73
74
75
76
77
78
79
import matplotlib.font_manager
import matplotlib.pyplot as plt
import numpy as np
from sklearn.covariance import EmpiricalCovariance, MinCovDet

# example settings
n_samples = 80
n_features = 5
repeat = 10

range_n_outliers = np.concatenate((np.linspace(0, n_samples / 8, 5),np.linspace(n_samples / 8, n_samples / 2, 5)[1:-1],)).astype(int)

# definition of arrays to store results
err_loc_mcd = np.zeros((range_n_outliers.size, repeat))
err_cov_mcd = np.zeros((range_n_outliers.size, repeat))
err_loc_emp_full = np.zeros((range_n_outliers.size, repeat))
err_cov_emp_full = np.zeros((range_n_outliers.size, repeat))
err_loc_emp_pure = np.zeros((range_n_outliers.size, repeat))
err_cov_emp_pure = np.zeros((range_n_outliers.size, repeat))

# computation
for i, n_outliers in enumerate(range_n_outliers):
for j in range(repeat):
rng = np.random.RandomState(i * j)

# generate data
X = rng.randn(n_samples, n_features)
# add some outliers
outliers_index = rng.permutation(n_samples)[:n_outliers]
outliers_offset = 10.0 * (np.random.randint(2, size=(n_outliers, n_features)) - 0.5)
X[outliers_index] += outliers_offset
inliers_mask = np.ones(n_samples).astype(bool)
inliers_mask[outliers_index] = False

# fit a Minimum Covariance Determinant (MCD) robust estimator to data
mcd = MinCovDet().fit(X)
# compare raw robust estimates with the true location and covariance
err_loc_mcd[i, j] = np.sum(mcd.location_**2)
err_cov_mcd[i, j] = mcd.error_norm(np.eye(n_features))

# compare estimators learned from the full data set with true
# parameters
err_loc_emp_full[i, j] = np.sum(X.mean(0) ** 2)
err_cov_emp_full[i, j] = (EmpiricalCovariance().fit(X).error_norm(np.eye(n_features)))

# compare with an empirical covariance learned from a pure data set
# (i.e. "perfect" mcd)
pure_X = X[inliers_mask]
pure_location = pure_X.mean(0)
pure_emp_cov = EmpiricalCovariance().fit(pure_X)
err_loc_emp_pure[i, j] = np.sum(pure_location**2)
err_cov_emp_pure[i, j] = pure_emp_cov.error_norm(np.eye(n_features))

# Display results
lw = 2
plt.subplot(2, 1, 1)
font_prop = matplotlib.font_manager.FontProperties(size=11)
plt.errorbar(range_n_outliers,err_loc_mcd.mean(1),yerr=err_loc_mcd.std(1) / np.sqrt(repeat),label="Robust location",lw=lw,color="m",)
plt.errorbar(range_n_outliers,err_loc_emp_full.mean(1),yerr=err_loc_emp_full.std(1) / np.sqrt(repeat),label="Full data set mean",lw=lw,color="green",)
plt.errorbar(range_n_outliers,err_loc_emp_pure.mean(1),yerr=err_loc_emp_pure.std(1) / np.sqrt(repeat),label="Pure data set mean",lw=lw,color="black",)

plt.title("Influence of outliers on the location estimation")
plt.ylabel(r"Error ($||\mu - \hat{\mu}||_2^2$)")
plt.legend(loc="upper left", prop=font_prop)

plt.subplot(2, 1, 2)
x_size = range_n_outliers.size
plt.errorbar(range_n_outliers,err_cov_mcd.mean(1),yerr=err_cov_mcd.std(1),label="Robust covariance (mcd)",color="m",)
plt.errorbar(range_n_outliers[: (x_size // 5 + 1)],err_cov_emp_full.mean(1)[: (x_size // 5 + 1)],yerr=err_cov_emp_full.std(1)[: (x_size // 5 + 1)],
label="Full data set empirical covariance",color="green")
plt.plot(range_n_outliers[(x_size // 5) : (x_size // 2 - 1)],err_cov_emp_full.mean(1)[(x_size // 5) : (x_size // 2 - 1)],color="green",ls="--",)
plt.errorbar(range_n_outliers,err_cov_emp_pure.mean(1),yerr=err_cov_emp_pure.std(1),label="Pure data set empirical covariance",color="black",)

plt.title("Influence of outliers on the covariance estimation")
plt.xlabel("Amount of contamination (%)")
plt.ylabel("RMSE")
plt.legend(loc="upper center", prop=font_prop)

plt.show()